24个基本求导公式 万图壁纸网
例题详解 1/5 分步阅读 例题求函数的导,例题如下图 2/5 第一步将函数分成分子函数,分母函数两个部分,如下图所示 3/5 将函数套入公式的形式如下图所示 4/5 将函数具体表达式代入公式并计算如下图所示 高数——偏导数——学习笔记(32) 偏导数 在一元函数中,导数就是函数的变化率。对于二元函数研究它的"变化率",由于自变量多了一个,情况就要复杂的多。 在 xOy 平面内,当动点由 P(x0,y0) 沿不同方向变化时,函数 f(x,y) 的变化快慢一般说来是不同的,因此就需要研究 f(x,y) 在 (x0,y0) 点处沿
分数求导数的公式
分数求导数的公式- 求微分(导数)与求积分是一个互逆的过程,在python里只需要利用代数符号系统即可进行求解。假设函数是这样子的 y=e2xy=e^{2x}y=e2x 那么我们先对其进行求导 求导代码 直接用diff,这个就是抄matlab的,如果看官是matlab忠实用户,可以看这篇我写的文章,也可以实现求导求微分 链接传送门 import sympy as sy sy RiemannLiouville分数阶微积分及其性质证明 太原理工大学硕士研究生学位论文Riemann--Liouville分数阶微积分及其性质证明 摘要 作为微积分理论的发展,分数阶微积分的概念人们早已提出,实际应 用的介入又为它注入了新的生机。 但由于分数阶微积分的定义有
6 2 5 通过链式求导法则求复合函数的导数 51cto Com
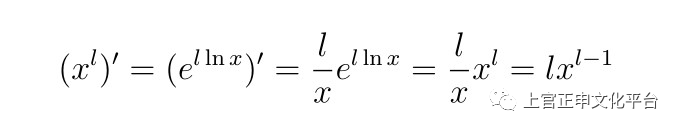
矩阵求导公式的数学推导(矩阵求导——基础篇) 〇 前言 下文以"本质篇"指代上面这篇文章。 2、 本文介绍 向量变元 的 实值标量函数 、 矩阵变元 的 实值标量函数 中 最基础 的矩阵求导公式的 数学推导 。 掌握了这些 最基础 的推导,才能理解之后的那些 求导公式与法则 求导基础公式 \ (x^{a})^{'}= ax^{a1} \\ (\sqrt{x})^{'}=\frac{1}{2\sqrt{x}} \\ (\frac{1}{x对 不断求导 你发现可以写成 令 , 再令 , 好像成功了,因为确实有 但是这种方法用在其他函数上就不行了 比如幂函数,求导到
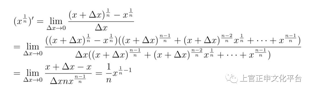
根号下怎么求导 —— 通常呢,根号就是表示某数开2分之1次根 例如√x = x的2分之1次方 =(x)^(1/2) 求导呢 (1/2) x ^(1/2 1 )= (1/2) x ^( 1/2 )= 1 / (2√x) 又如y = a开3次方求导,y = a^(1/3) y' = (1/3)a^ (1/3 1 ) 延伸至开一个数的n次方,都可以把它化成一个数的n分之1 这样就Y=arcsinx y=arccosx y=arctanx y=arccotx 的值域分别为多少 我一直认为是整个坐标轴分数求导 平台用户的互动中精选与分数求导相关的:1、数学分数求导公式。2、分数的导数怎么做?说下方法。 3、分数如何进行求导,急··4、怎么证明分数的导数公式 5、分数的求导公式 7、朋友,请问分数形式的求导公式 8、如何分数求导,例如:x÷(2x 9、分数求导公式 10、分数的导数怎么求?
分数求导数的公式のギャラリー
各画像をクリックすると、ダウンロードまたは拡大表示できます
高数求导公式表图片第1页 驾考预约大全 | ![]() 高数求导公式表图片第1页 驾考预约大全 | ![]() 高数求导公式表图片第1页 驾考预约大全 |
![]() 高数求导公式表图片第1页 驾考预约大全 | 高数求导公式表图片第1页 驾考预约大全 | ![]() 高数求导公式表图片第1页 驾考预约大全 |
![]() 高数求导公式表图片第1页 驾考预约大全 | ![]() 高数求导公式表图片第1页 驾考预约大全 | ![]() 高数求导公式表图片第1页 驾考预约大全 |
高数求导公式表图片第1页 驾考预约大全 | 高数求导公式表图片第1页 驾考预约大全 | ![]() 高数求导公式表图片第1页 驾考预约大全 |
![]() 高数求导公式表图片第1页 驾考预约大全 | ![]() 高数求导公式表图片第1页 驾考预约大全 | ![]() 高数求导公式表图片第1页 驾考预约大全 |
高数求导公式表图片第1页 驾考预约大全 | 高数求导公式表图片第1页 驾考预约大全 | 高数求导公式表图片第1页 驾考预约大全 |
高数求导公式表图片第1页 驾考预约大全 | 高数求导公式表图片第1页 驾考预约大全 | ![]() 高数求导公式表图片第1页 驾考预约大全 |
高数求导公式表图片第1页 驾考预约大全 | 高数求导公式表图片第1页 驾考预约大全 | ![]() 高数求导公式表图片第1页 驾考预约大全 |
高数求导公式表图片第1页 驾考预约大全 | ![]() 高数求导公式表图片第1页 驾考预约大全 | ![]() 高数求导公式表图片第1页 驾考预约大全 |
![]() 高数求导公式表图片第1页 驾考预约大全 | 高数求导公式表图片第1页 驾考预约大全 | ![]() 高数求导公式表图片第1页 驾考预约大全 |
高数求导公式表图片第1页 驾考预约大全 | 高数求导公式表图片第1页 驾考预约大全 | ![]() 高数求导公式表图片第1页 驾考预约大全 |
![]() 高数求导公式表图片第1页 驾考预约大全 | 高数求导公式表图片第1页 驾考预约大全 | 高数求导公式表图片第1页 驾考预约大全 |
高数求导公式表图片第1页 驾考预约大全 | 高数求导公式表图片第1页 驾考预约大全 | ![]() 高数求导公式表图片第1页 驾考预约大全 |
![]() 高数求导公式表图片第1页 驾考预约大全 | ![]() 高数求导公式表图片第1页 驾考预约大全 | ![]() 高数求导公式表图片第1页 驾考预约大全 |
高数求导公式表图片第1页 驾考预约大全 | 高数求导公式表图片第1页 驾考预约大全 | 高数求导公式表图片第1页 驾考预约大全 |
高数求导公式表图片第1页 驾考预约大全 | 高数求导公式表图片第1页 驾考预约大全 | 高数求导公式表图片第1页 驾考预约大全 |
![]() 高数求导公式表图片第1页 驾考预约大全 | 高数求导公式表图片第1页 驾考预约大全 | 高数求导公式表图片第1页 驾考预约大全 |
高数求导公式表图片第1页 驾考预约大全 | 高数求导公式表图片第1页 驾考预约大全 | 高数求导公式表图片第1页 驾考预约大全 |
![]() 高数求导公式表图片第1页 驾考预约大全 | 高数求导公式表图片第1页 驾考预约大全 | 高数求导公式表图片第1页 驾考预约大全 |
![]() 高数求导公式表图片第1页 驾考预约大全 | 高数求导公式表图片第1页 驾考预约大全 | 高数求导公式表图片第1页 驾考预约大全 |
高数求导公式表图片第1页 驾考预约大全 | 高数求导公式表图片第1页 驾考预约大全 | ![]() 高数求导公式表图片第1页 驾考预约大全 |
高数求导公式表图片第1页 驾考预约大全 | 高数求导公式表图片第1页 驾考预约大全 | ![]() 高数求导公式表图片第1页 驾考预约大全 |
高数求导公式表图片第1页 驾考预约大全 | ![]() 高数求导公式表图片第1页 驾考预约大全 | ![]() 高数求导公式表图片第1页 驾考预约大全 |
高数求导公式表图片第1页 驾考预约大全 | ![]() 高数求导公式表图片第1页 驾考预约大全 | 高数求导公式表图片第1页 驾考预约大全 |
高数求导公式表图片第1页 驾考预约大全 | ![]() 高数求导公式表图片第1页 驾考预约大全 | ![]() 高数求导公式表图片第1页 驾考预约大全 |
![]() 高数求导公式表图片第1页 驾考预约大全 | 高数求导公式表图片第1页 驾考预约大全 | 高数求导公式表图片第1页 驾考预约大全 |
![]() 高数求导公式表图片第1页 驾考预约大全 | 高数求导公式表图片第1页 驾考预约大全 | 高数求导公式表图片第1页 驾考预约大全 |
![]() 高数求导公式表图片第1页 驾考预约大全 | 高数求导公式表图片第1页 驾考预约大全 | 高数求导公式表图片第1页 驾考预约大全 |
![]() 高数求导公式表图片第1页 驾考预约大全 | 高数求导公式表图片第1页 驾考预约大全 | 高数求导公式表图片第1页 驾考预约大全 |
![]() 高数求导公式表图片第1页 驾考预约大全 | ![]() 高数求导公式表图片第1页 驾考预约大全 | ![]() 高数求导公式表图片第1页 驾考预约大全 |
高数求导公式表图片第1页 驾考预约大全 | ![]() 高数求导公式表图片第1页 驾考预约大全 | ![]() 高数求导公式表图片第1页 驾考预约大全 |
![]() 高数求导公式表图片第1页 驾考预约大全 | ![]() 高数求导公式表图片第1页 驾考预约大全 | 高数求导公式表图片第1页 驾考预约大全 |
高数求导公式表图片第1页 驾考预约大全 | ![]() 高数求导公式表图片第1页 驾考预约大全 | 高数求导公式表图片第1页 驾考预约大全 |
![]() 高数求导公式表图片第1页 驾考预约大全 | 高数求导公式表图片第1页 驾考预约大全 |
北师大版六年级上册数学《百分数》百分数知识点整理北师大版六年级上册数学《百分数》百分数知识点整理 page page 4 page\*mergeformat 4 北师大版六年级上册数学《百分数》百分数知识点整理百分数1百分数的意义:表示一个数是另一个数的百分之几。百分数是指的两个数的比,因此也叫百分率或 高数第二章——导数&求导法则&高阶导数&微分1、导数11 例题—导数定义求导(important)12 单侧导数13 例题—判断是否可导2、函数的求导法则21 定理一 线性组合求导的传递性22 定理二 反函数的求导法则221 例题—利用反函数求导法则求导23 定理三 复合函数的求导法则链导法则(important)24 基本求导
Incoming Term: 分数求导, 分数求导公式, 分数求导数的公式, 分数求导公式大全, 分数求导口诀, 分数求导法则, 分数求导方法, 分数求导公式 1+ e x,

















































0 件のコメント:
コメントを投稿